ネイピア数
(無理数)の研究
| ネイピア数 |
| 数学定数の1つの無理数で、自然対数の底( ※対数の研究で有名な数学者ジョン・ネイピアの名前をとって「ネイピア数」と呼ばれている。 e=2.7182818284590452353602874713527…… |
不思議な数
の物語
なぜ、表の様な等式になったか述べていきたいと思います。
| 不思議な数eをどの様に発見したか | eを求める数式 | 発見した数学者 |
| 「複利」の計算から生まれた | ![]() |
スイスの数学者 ヤコブ・ベルヌーイ(1654年~1705) |
| 対数関数の導関数を求める過程で発見 | ![]() |
スイスの数学者 レオンハルド・オイラー(1707年~1783) |

![]()
は「複利」の計算から生まれた
| 不思議な数ネイピア数(e)は,スイスの数学者 ヤコブ・ベルヌーイ(1654年~1705)だったとされ 金利計算の複利を調べて発見しました。 |
| 「複利」とは、銀行などにお金を預けたとき、元金だけでなく受け取る利子に対しても利子がつくことです。 複利の効果によって、預金額がふくれあがります。 |

| 元金100万円に年利5%の複利で金利がつく場合 10年後に受け取る金額はいくらか。 |
元本100万円を年利5%で半年ごとの複利で金利が付く場合 10年後に受け取る金額はいくらか。 |
| 公式を利用して計算してみました | |
![]() |
![]() |
| 表計算ソフトExcelで計算してみました | |
![]() |
|
| (答) 1628895円 | (答) 1638616円 |
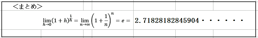
| 実際に、下記の式を表計算ソフトExcelを使って計算してみると、 一定の値(極限値)ネイピア数にeに近づくことが分かりました。 |
|
| 関数電卓から、ネイピア数 e=2.7182818284590452353602874713527 より、 Excelで計算すると小数点第5位まで一致しました。従って以下の数式が 分かりました。 |

ネイピア数eは以上の式で求めてきましたが、次は
| 無限級数 | ![]() |
でネイピア数を求める。 |
| 上記のeを求める無限級数で表された等式で、ネイピア数eを 求めていきたいと思います。まずは、上記のeを求める等式の 証明から始めます。 |
![]() |
を証明 |
| パスカルの三角形から二項定理を導きました。 |
![]() |
| 参考資料 | |
![]() |
![]() |
| 二 項 定 理 |
![]() |
上記の二項定理を利用して

![]() |
![]() |
| 表計算( Exce)lで、無限級数の第7項までの和を求めた所、ネピア数を関数電卓を使って調べてみると小数第4位まで一致した。無限級数なので、項を無限に増やして行くと単調に収束して2.7182818284・・・・・ に限りなく近づく。この無理数をネイピア数といいます。 |
※単調に収束
| 単 調 と は |
| 数列の項が先に行くにつれて大きくなることはあっても小さくなることがない場合、その数列を単調増加数列と呼びます。 逆に、項が先に行くにつれて小さくなることはあっても大きくなることがない場合、その数列を単調減少数列と呼びます。 |
| 収 束 と は |
| 極限を考えるときに重要になってくるのが収束と発散です。 例えば数列で番号が進むにつれて数列の項 がある値に限りなく近づいていく場合、その数列は収束するといいます。 収束しせずにどんどん大きくなっ ていったり、正負に振動したりする数列は発散するといいます。 |
| ネ イ ピ ア 数 |
|

| 実際に、下記の式を表計算ソフトExcelを使って計算してみると、 一定の値(極限値)ネイピア数にeに近づくことが分かりました。 |
![]() |
| 関数電卓から、ネイピア数 e=2.7182818284590452353602874713527・・・Excelで計算すると小数点第5位まで一致しました。eは無理数であることが分かります。 |

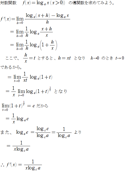
| 対数関数の微分(導関数を求めることを微分するという。) | |
![]() |
![]() |
![]() |
|
| 指数関数の微分 | ||
|
|
![]() |
| 導関数の定義に従って指数関数を微分してみました。 | |
![]() |
|
| ヤコブ・ベルヌーイとレオンハルド・オイラーの2人は、同じ国籍なので2人の関係について調べてみると面白いことが分かりました。 ヤコブベルヌーイの弟であるヨハンベルヌーイ(1667年~1748)は、オイラーが1720年にバーセル大学に入学した時に出会いました。 兄のヤコブベルヌーイは、亡くなった2年後に、オイラーが誕生したのであるから直接オイラーとの出会いはありませんが、弟のヨハン・ベルヌーイと オイラーは出会いがあり、年齢差は40歳ですので師弟関係だったと思います。 オイラーの父は牧師で、息子のオイラーも後を引き継ぎさせたかったようです。本人のオイラーも父親の影響で、哲学を学び神学の道へ 一旦進みましたが、ヨハン・ベルヌーイはオイラーの数学の才能を見抜き、両親を説得し数学を専攻する事になり、その後の歴史で承知の 通り、偉大な数学者になりました。 オイラーの運命を決定させたヨハン・ベルヌーイは、オイラーの才能を見抜いた偉大な数学者だと思いました。当然、バーゼル大学の数学教授 だったヨハンの弟子がオイラーになります。そのヨハンの兄ヤコブとの出会いが無かったが、オイラーとの双方でネイピア数eの発見に見えない 糸で繋がれたようでロマンを感じました。 ネイピア数を発見したのは、説明通りヤコブ・ベルヌーイとレオンハルト・オイラーの両2名であってジョン・ネイピアではありません 普通は発見した人の名前を使うのですが、対数の発見したジョン・ネイピアの名をとってネイピア数と名前を付けました。 その、対数関数の導関数を求める過程でネイピア数を発見したのがレオンハルト・オイラー(Leonhard Euler)であって、ネイピア数をeで表したのは Eulerの頭文字のEからきています。
最後に感じた事ですが、コンピュータのない300年以上も前に、よくネイピア数 一瞬にネイピア数を計算できます。もし、コンピュータのない時代であればここまでは理解できなかったと思います。 2025/08/24 タッチ |

| 数学Ⅲ 旺文社 昭和47年2月1日印刷・昭和47年2月10日発行 | 数学Ⅲ 啓林館 平成10年12月1日印刷・平成10年12月10日発行 |
![]() |
![]() |
| 不思議な数eをどの様に発見したか | eを求める数式 | 発見した数学者 |
| 「複利」の計算から生まれた | ![]() |
スイスの数学者 ヤコブ・ベルヌーイ(1654年~1705) |
| 対数関数の導関数を求める過程で発見 | ![]() |
スイスの数学者 レオンハルド・オイラー(1707年~1783) |
ていたネイピア数eを求める数式と、教師になって使用した 数学Ⅲのネイピア数eを求める数式が違うので、ずい分 悩みました。証明は、教科書に掲載されていて問題な かったですが、2つの数式の意味が分からず今日までの年月 が過ぎました。 今回の数学研究で、2人の数学者がそれぞれ違った 分野からネイピア数を発見したことには感激した。その 2人の関係にもふれ歴史的にも興味を持ちました。 古稀を迎え、自由の時間が増え数学研究がプレッシャー なく楽しみながら勉強できますが、高校時代や数学教師 の時代には、大学受験の数学の成績を如何に上げるかが 課題だったので、数学の本当の楽しさは経験出来なかった。 2025/08/27 タッチ |
![]() |
|
||
![]() |
| べき級数展開(マクローリン展開)を利用し第13項までの和を求め、eを底とする指数関数のグラフを描いてみました。 |
![]() |