数学研究 虚数()の研究

 数の拡張
 


 複素数とは、実部と虚部の和で表した数をいう。
(虚数と実数を同時に表現しているので、合わせて複素数)
 

       虚数(imaginary number)について
 虚数とは、2乗するとマイナスになる数をいう。英語ではimaginary numberといい、直訳すれば「想像上の数」です。
虚数をi(imaginaryrの頭文字からとっています)で表そます。つまりありもしない数を虚数として考えます。

 
となる。 

 日常生活に使っている数(個数・長さ・重さ等)を実数といい、英語に訳すとreal numberである。
実数全体を表すのには「数直線」で表すことが出来るが虚数は、数直線の「外」にあり、数直線上のどこにもない。
ならば、数直線の外、つまり原点から上方向へ延ばした矢印を虚数とする。

複素平面(ガウス平面)


なぜ、になるかを 複素平面上で説明します。

虚数を可視化すると、左の座標平面になる。横軸を実数全体を表す数直線をとり、
虚数を原点を通り実数軸から垂直な直線を虚数とする。

 虚数と実数を同時に表現しているので、合わせて複素数(complex number)
といいこの様な平面を複素平面(ガウス平面)という。
 
 複素平面から
虚数iの掛け算は反時計回りに90°回転になる。
そうすると、反時計回りに180°転回すると実数軸の実数は-1なりますね。
180°回転することは虚数iの掛け算はi×iとなり、その時の値は-1です。



従って となる








極 形 式



ド・モアブルの定理
を2通りの方法で証明した

 [証明Ⅰ] 数学的演繹法による証明 [証明Ⅱ] 数学的帰納法による証明 
   

ド・モアブルの定理を証明する為に用いた加法定理・2倍角の公式
 加法定理  2倍角の公式
   

ド・モアブルの定理を複素平面上に表しました。
   
(ⅰ)zの極形式は単位円(半径1の円)Oを中心に
円周上を回転する。

(ⅱ) n≧3のとき、複素平面上で、
Zkを表す点は、
点1を1つの頂点として、
単位円に内接する正n角形の各頂点である。
             

 

 ド・モアブルの定理を用いて、
1のn乗根(zn=1の解)を求めることが出来る
 


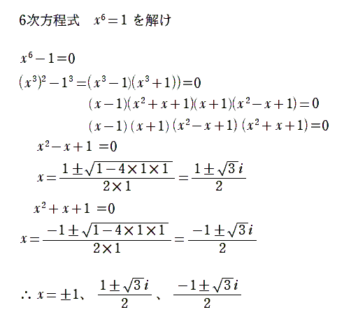
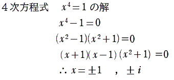
1のn乗根(z=1の解)を2通りの方法で求めてみました。
 ド・モアブルの定理を用いて求める  代数的(解の公式、因数分解)で求める
   
   
   

☜ド・モアブルの定理から
k=0,1,2のときのz
をそれぞれz0,z1,z2
とすると、z0,z1,z2は、
単位円に内接する正三角形
の頂点である。


   
 
 ド・モアブルの定理より
複素数平面上に図示すると、
単位円に内接する正六角形の
頂点になっている。

   






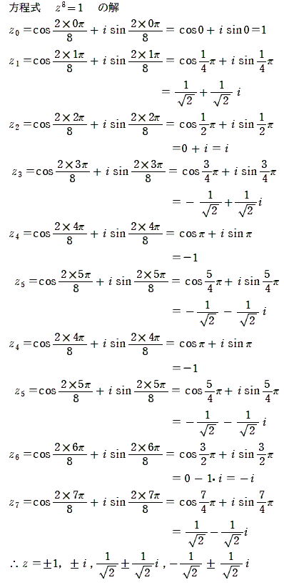
☜ド・モアブルの定理から
k=0,1,・・・・・・7のときのz
をそれぞれz0,z1,・・・・・・,z7
は、単位円に内接する正八
角形の頂点である。

ド・モアブルの定理を学んで感じたこと

  虚数を研究しているうちに複素数へと進み極形式へと展開するまでは、高校の授業で長年指導してきた内容だったが、ド・モアブルの定理      
に突きあたると、ここは深入りしなくて、次へと進みました。教科書ではよく見かけましたが美しい式だったなぁ~と思うのが長年感じた感想です。      
それと、ド・モアブルの定理とオイラーの公式が非常に似ているので、最終目標の世界一美しい式オイラーの等式にたどり着くようにおもいます。    
ここはしっかりと学んでいきたいと思います。今回は、長年数学教師として積み残した所なのでもう一度、ド・モアブルの定理を深く研究してみました。 
ド・モアブルの定理で表された極形式は、複素平面上で単位円(半径1)の円に内接する正多角形を描くことに改めて感動した。                
  そして、ド・モアブルの定理を利用して、1のn乗根(z=1の解)が無数にあることにきずきました。                        
また、その解はド・モアブルの定理から求めた極形式になるのです。                               
代数的(解の公式、因数分解)を同時に解いてみました。そこで、寄り道になりますが、高次方程式の解は4次方程式までで、      
3次方程式の解の公式・4次方程式の解の公式はありますが5次方程式以上の解の公式は存在しなく、解く方法はないということがわかりました。
 改めてド・モアブルの定理の凄さを実感しました。
                                       

<参考>

ド・モアブルの定理
オイラーの公式
オイラーの等式
 <アーベル–ルフィニの定理>
 五次以上の代数方程式には解の公式が存在しない、と主張する定理である。 より正確には、
5以上の任意の整数 n に対して、一般の n 次方程式を代数
的に解く方法は存在しない、という定理である。



マイナス×マイナスはなぜプラスか?

  長年数学の教員を務めさせていただきましたが、(マイナスの数)×(マイナスの数)はなぜプラスになるのかは本気で考えたことは   
一度もありませんでした。また、当たり前の事なので生徒達には機械的に覚えさせ、「正の数・負の数」の計算が出来る様な指導に     
重点を置いていました。                                                      
 還暦を迎え、ゆとりもでき今一度振り返ってみました。きっかけはNHKのお笑い芸人パンサー尾形の「笑わない数学・虚数」の視聴と   
本屋で立ち読みした科学雑「Newton」テーマ・虚数でした。指導書には解説なく長年スルーしてきましたが、深く調べてみると非常に面白くなり
夢中になりました。複素平面から(マイナスの数)×(マイナスの数)=(プラスの数)に導き出す事に感動しました。もう、数学教師として 
過去に戻り感動したことを教えることが出来ないことに非常に残念に思いました。                            
 今後の残りの人生は、現役時代に積み残した数学の知識を深めてみたいと思います。          。              

2026/01/05 タッチ                                                     

(解Ⅰ)                 


(解Ⅱ)複素平面より虚数を利用して証明
科学雑誌 Newton2008/12号から引用




 
 
 1×(-1)=-1
 

 




(-1)×(-1)=1