| πとは何か?究極の質問ですが、教科書には載っていません。古稀を前にして、数年前から情報Ⅰのプログラミング言語 の教育が始まりました。偶然ですが、プログラミング言語Pythonを使って正多角形を描いたところ正無限角形は円になることを発見しました。 科学雑誌「Newton」2008年12月号に掲載されていた事には驚きです。そこでふと思った事ですが、それは正無限角形の 周の長さを求めればπの近似値が求まるのではないのかと思い、表計算ソフトExcelを使い正一万角形までの周の長さを求める と、関数電卓と小数点以下7桁まで一致しました。コンピュータがなければ絶対にπの近似値を求める事が不可能でありま す。コンピュータと数学の連携でπの世界が見えてきました。あと残りの人生も、新しい発見に取り組んで行こうと思います。 2024/04/23 タッチ |
| 正多角形は円に近づく事が、プログラミング言語Pythonでシュミレーションして分かりました。 そこで、正多角形が円になることを利用して正1万角形までの周の長さや面積を求める事によって 円周率πの近似値を求めてみました。 |
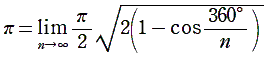
| 解法(1) (正多角形の一辺の長さを余弦定理を使って、正1万角形までの周の長さを求めました。) |
![]() |
| πを求める為の計算式 | ![]() |
![]() |
| : |
![]() |
上の結果から円周率πの近似値は関数電卓で調べると、
少数点以下第7位までは関数電卓と一致しました。
事例Ⅱ
| 解法(2)(正多角形の一辺の長さを三角比を用いて求め、正1万角形まで求めました。) | ||||
|
|
|||
|
||||
上の式から円周率πの近似値を表計算ソフトExcelを用いて求めてみました。
| πを求める計算式 | ![]() |
![]() |
| : |
![]() |
上の結果から円周率πの近似値は、関数電卓で調べると
少数点以下第7位までは関数電卓と一致しました。
事例Ⅲ
|
円の面積は、円の中心を頂点とし円周に沿う 底辺をもつ、無限の多くの細かい三角形の和と 考えることが出来る。 不思議な数eの物語 E.マオール著 上記の内容をヒントに円周率πの近似値を求めた のが以下に述べている解法Ⅲです。 |
| 解法(3)(⊿OABの面積を求める事によって、正1万角形までの面積を求めました。) |
![]() |
上の式から円周率πの近似値を表計算ソフトExcelを用いて求めてみました。
| πを求める為の計算式 | ![]() |

上の結果から円周率πの近似値は、関数電卓で調べると
少数点以下第6位までは関数電卓と一致しました。
今までと全く違った方法(モンテカロル法)でπの近似値を求めました
<参考> モンテカルロ法
モンテカロル法で円周率πの近似値を求める
モンテカロル法とは、乱数(不規則な数値)を十分与えて、事象を確率的に解析する手法。
戻る